공무원 봉급표 2023 제대로 알아보기
공무원 봉급표 2023 제대로 알아보기



어느덧 2022년 마무리가 다가오면서 내년에 적용되는 최저임금을 비롯 공무원 임금 인상률도 최종 마무리가 되고 있습니다. 대부분의 중견 기업에서는 이러한 공무원 임금 인상률을 반영하여 내년도 임금협상을 진행하기 때문에 공무원에게도 중요하지만 민간인에게도 상대적으로 의미가 있는 공무원 봉급표 2023을 제대로 알아보겠습니다.

2021년에서 2022년으로 가는 동안에는 공무원 보수 인상률은 1.4%로 결정된 바 있는데 이 때 경제성장률을 4%선에서 예상하며 이렇게 결정하였으며 2023년도에는 공무원 보수를 1.7% 인상하기로 결정하였는데 이는 전 세계적인 물가상승률과는 상당한 괴리가 있어 박봉의 공무원들에게 더 큰 고통을 돌려줄 것으로 보입니다.
공무원 봉급표 2023

지난 노무현 정부에서는 2.44%, 이명박 정부 2.28%, 박근혜 정부 3%, 문재인 정부에섯느 1.92%로 오히려 보수 정권에서 공무원 봉급 인상율이 상대적으로 높았었음을 알 수 있습니다. 그래서 이번 윤석열 정부에서도 기대를 한 것이 사실이며 최근 소비자물가 인상률이 5~6%였던 점을 고려하면 소비자물가의 1/3 수준이다보니 상대적인 박탈감은 클 수 밖에 없을 것입니다.
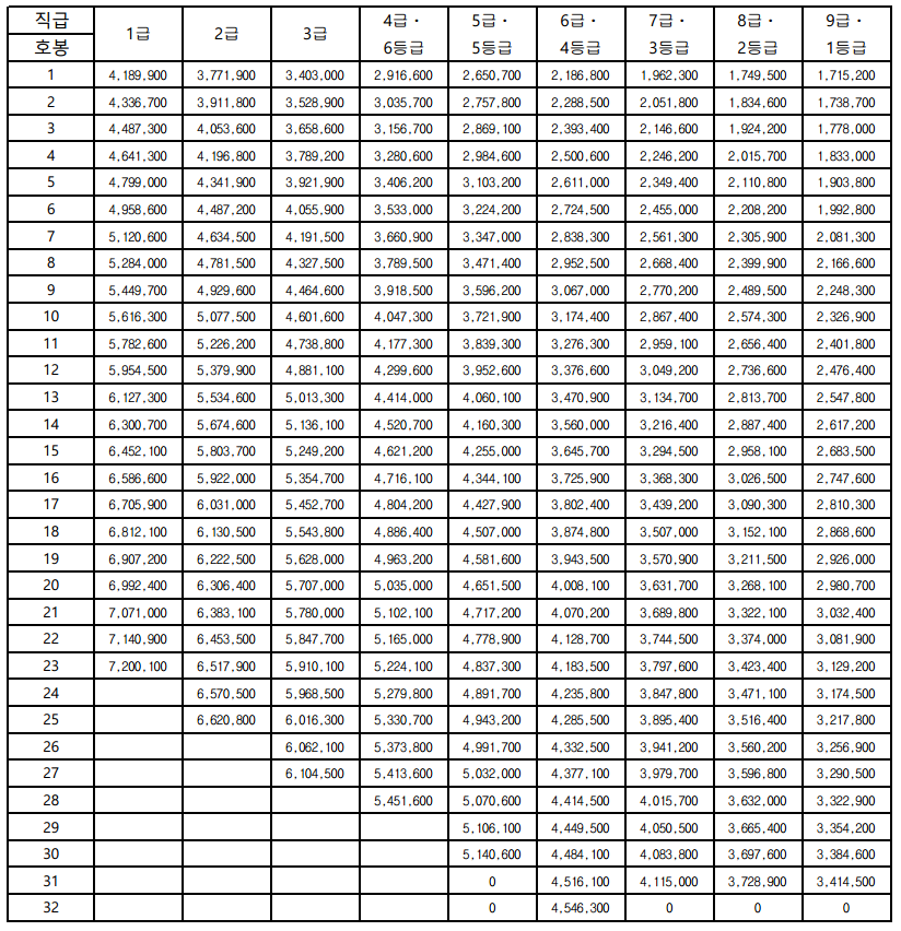
공무원 봉급표 2023상에 보면 일단 이 봉급표에는 본봉만 기재가 되는데 주요 연차별 봉급을 보면

9급 1호봉 : 1,715,200원, 2호봉 : 1,738,700원, 3호봉 : 1,778,000원
7급 1호봉 : 1,962,300원, 2호봉 : 2,051,800원, 3호봉 : 2,146,600원
기본급의 경우 매우 낮은 편이지만 공무원 봉급의 경우 기본 호봉과 함께 공무원수당 등에 관한 규정에 따라 5개 분야 14종이 지급된다고 하니 어느 정도 보완은 되는 것으로 보입니다.

주요수당으로는 상여수당에 해당하는 대우공무원수당, 정근수당, 성과상여금, 가계보전수당인 가족수당, 자녀학비보조수당, 육아휴직수당, 특수지근무수당, 초과근무수당 등이 있습니다. 특히 공무원들에게는 명절 수당이 상대적으로 커 기대하게 되는데 명절수당은 본봉의 60%로 계산되기 때문에 호봉에 따라 명절수당이 결정됩니다.

종합적으로 본인이 수행하는 직무에 따라 급여는 다르지만 일반적으로 본봉기준 봉급표 * 1.25 정도를 하면 세후 실수령액을 판단할 수 있다고 하니 공무원 봉급에 관심이 많으신 분들은 계산한번 해보시기 바랍니다. 이상 이번에 예산안이 최종확정되면 국가에서 공무원 봉급표 2023은 다시 발표할 예정이니 새로운 소식은 그때 전하도록 하겠습니다. 이상으로 2023년 공무원 봉급표에 대해 알아보았습니다. 감사합니다.
운전면허 적성검사 갱신 대기없이 하는 법(준비물, 용인시험장 후기, 예약 링크 포함)
운전면허 적성검사 갱신 대기없이 하는 법(준비물, 용인시험장 후기, 예약 링크 포함) 연말이 다가오면서 올해 내에 마무리 해야하는 것들을 슬슬 정리만 해야합니다. 그 중에 하나가 바로 1종
wjdqh.goodtory.kr
칡즙 효능과 부작용 알아보기
칡즙 효능과 부작용 알아보기 칡은 콩과 덩굴식물로 우리 나라 대부분 산기슭이나 언덕에서 주로 발견할 수 있습니다. 구하는 것은 그리 어려운 일은 아님에도 다양한 효능을 가지고 있기 때문
wjdqh.goodtory.kr
간에 좋은 음식 10 알아보기
간에 좋은 음식 10 알아보기 우리 몸의 내부를 지탱하는 다양한 장기들은 다양한 역할들을 할 수 있는데 그 중 간은 우리 몸에서 독소를 해독하는 역할이 뛰어나며 대부분의 해독 작용을 전담하
wjdqh.goodtory.kr
홍삼 효능 알아보기
홍삼 효능 알아보기 홍삼 효능 1. 면역력 증가 홍삼 효능 첫 번째는 면역력 증가입니다. 홍삼은 가장 먼저 떠오르는 것은 바로 면역력 증가입니다. 코로나 19 때도 홍상을 통하여 면역력을 높이자
wjdqh.goodtory.kr
저혈당 증상과 개선방법 알아보기
저혈당 증상과 개선방법 알아보기 우리가 흔히 당이 떨어진다고 표현하는 저혈당 증상이 오면 기력이 떨어져 심하면 손이 떨리거나 발작까지 이어질 수 있는데 물론 우리가 당이 떨어지는게 이
wjdqh.goodtory.kr